При использовании материалов ссылка на блог mathrepetitor.blogspot.com обязательна
Страницы
Подготовка к ЦТ
10 класс
Важная информация
Высшая математика
Теория
Обратная связь
Геометрия
Основа основ
пятница, 14 февраля 2020 г.
A11. Иррациональные вычисления
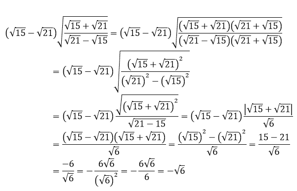
Задание
. Упростите выражение
Варианты ответов:
1)
-√6;
2)
6;
3)
-6;
4)
√6;
5)
3√2(√5-√7)
Теория
тут
Решение
Способ 1
Способ 2 (предварительно изучите
как вносить множитель под знак корня
)
Ответ.
1
Комментариев нет:
Отправить комментарий
Следующее
Предыдущее
Главная страница
Открыть мобильную версию
Подписаться на:
Комментарии к сообщению (Atom)
Комментариев нет:
Отправить комментарий